年度热门 · 什么?这种鬼畜知识也被我学到了?

你曾经被哪些自己所学专业的鬼畜知识震惊过?
图片:Yestone 邑石网正邦畿库 你曾经被哪些本身所学专业的鬼畜常识震动过? 陈二喜,航空系烈士

说个我当初感受很很震动很难以接管的。

有一段下面外形的管子:

从左往右吹气,空气会加快。这是显而易见的。

并且吹得越用力,右端出来的气体速度越快,这也是轻易想象的。

假如你足够能吹,右端跑出来的气体是否无限快呢?

No,不管你多能吹,从右端出来的气体最多达到音速。这时辰,你再继续加鼎力气吹,就算把本身吹炸了,右端出口跑出来的气体速度依旧连结音速。

假如,在右端出口处再接一个管子的话:

气体在管 1 里面是加快的,加快完毕后,进入管 2 之后,速度怎么变呢?

谜底是,进入管 2 之后,空气继续加快。以超音速从管 2 右端喷出。

总结:空气进入渐缩管 1 后加快,刚好到出管 1 的处所酿成音速,进入渐扩管 2 后又继续加快。方才学这里的时辰简直很震动。

不外看到数学证实之后,感觉恍然大悟,数学证实很简单,联立质量守恒和动量守恒即可求解,证实过程放在文末。

-

上图中,两个管子对接起来组合当作的东东叫拉法尔喷管,是瑞典工程师拉法尔在 1882 年发现的一个可以或许发生超音速流动的装配。

加倍令人震动的工具是:整个航空航天工业(的动力学部门),全都成立在拉法尔喷管根本之上。

1,火箭策动机

火箭的焦点动力部件就是喷管,喷管从头至尾部发生超音速气流,把工质喷出去,获得推力。为了发生超音速气流,需要包管喷管进口端(上图傍边吹气的处所)压力达到临界值。是以,就得加一个燃烧室,把燃料燃烧发生高压气体。

上图是什物图,可以很较着看到喷管布局。再弥补一个示意图:

也就是说,火箭策动机的焦点动力装配其实就是在喷管的根本长进行革新的。

2,涡喷策动机

固然,航空策动机是一个及其复杂的存在,但它其实也是一个喷管。

跟火箭策动机一样,为了包管喷管进口端压力足够,需要烧燃料,所以得有一个燃烧室。

燃料燃烧需要空气,为了包管燃烧够猛,需要在燃烧室前面加一个涡轮增压装配,以便于发生高压空气,供燃料燃烧。这个涡轮增压装配就是压气机。PS:买汽车的时辰,发卖会告诉你这车是涡轮增压仍是天然进气。跟这个是一个事理,为了包管燃烧够猛,供给更强的动力,需要供给高压空气。所以,同样排量的汽车,烧同样多的汽油,涡轮增压动力更强劲。当然了,价钱也更贵一些。

既然有了压气机,那压气机动弹得需要能量,能量从哪里来呢?就从燃烧事后的气体中拿出一部门来用于吹动一个涡轮动弹,涡轮动弹后带动压气机工作。

所以,涡喷策动机就是在喷管里加上压气机和燃烧室以及涡轮。示意图如下:

可以看出来,画黑框的处所就是个喷管。

3,(超燃 / 亚染)冲压策动机

我们可以想象一下,插手飞机飞得足够快,将会导致空气撞上策动机之后敏捷减速,减速就会导致压力升得足够高。此时,即使不消压气机,也能包管喷管进口处的气体压力足够高。所以,压气机不需要了,既然压气机不需要,那涡轮也不需要了。

这种策动机叫冲压策动机。就是飞机“冲”得速度足够快,使得喷管前方空气“压”力足够高的策动机。

没有了压气机和涡轮的策动机就只剩了一个喷管了。是的,飞得超等快的飞翔器外面挂的就是一个喷管。

上图是超燃冲压策动机,整体来看,左边部门渐缩管,右边部门渐扩管。说白了就是一个喷管。但跟喷管纷歧样的处所在于,中心最细的那一部门拉长了,这一段叫隔离区,是为了防止燃烧室的一些波动影响上游。

亚燃冲压策动机就不消考虑燃烧室的波动影响上游,所以,亚燃冲压策动机的道理图中,没有上图中的隔离区,脑补之后就可以知道,那工具就是一个喷管。

4,超音速风洞

说完天上飞的,再来说说地面试验设备。为了测试飞翔器外形可否知足飞翔要求,需要做一个缩比模子放在超音速气流中吹一吹,即风洞试验。发生超音速流动的设备就是风洞。

风洞就是喷管。

为了包管喷管前方有足够的压力。需要在上游加一个高压罐,感化同策动机上的压气机。

高压罐里出来的气体进入喷管之前先升温,需要一个加热装配,感化同策动机上的燃烧室。

加热后的高压气体进入喷管,形当作超音速流动。

风洞道理图如下:

上图中高压罐和喷管之间的管道上有加热装配。高压罐、管道、加热装配、喷管,这四者其实是拉长了的航空策动机。

总结:没有拉法尔喷管,就没有现代航空航天。

企盼一下:

-

空气进入渐缩管会加快,这个好理解。

不管多鼎力气吹,最后出口处竟然刚好一倍音速?

再接一个渐扩管不该该减速吗?为毛还要继续加快?

接下来就是数学证实时候。没事的可以散了。

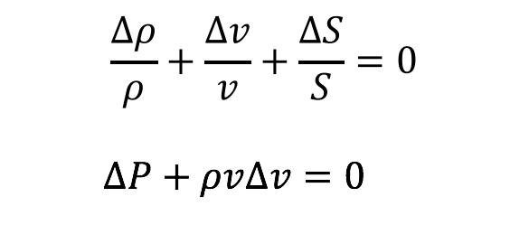
上面两个式子,第一个是质量守恒,即 1 秒内吹进去的空气质量为 m,不管密度速度或者管子横截面积怎么转变,这团气体的质量永远连结 m。

第二个式子是关于动量的。力由压力供给,m 由第一个式子给出。

然后对这两个式子进行加工。

第一个式子两头求微分。

第二个式子消去时候项获得:

联立两个方程,连系音速界说,可获得:

M 为马赫数,即气流速度除以音速。马赫数小于 1,为亚音速。马赫数等于 1,为音速。马赫数大于 1,为超音速。

证实 1:标的目的渐缩管吹气,气流会加快?

空气从你嘴里出来,是亚音速,马赫数小于 1,所以,

小于 0。

且,管子横截面积逐渐变小,所以

小于 0。

所以

大于 0,即速度是增添的。

证实 2:标的目的渐缩管吹气,从头至尾端出口处正好是音速?

操纵反证法从逻辑上证实。

假如,空气是亚音速流动,那么就继续加快(证实 1 中的环境)

假如,空气已经酿成超音速流动了,由公式可知,空气将减速。

假如,空气一向连结音速流动?由那个公式可知,面积在变,速度必需変,此环境不成能发生。

综上,空气在渐缩管中,必需一向加快,且在从头至尾端出口处酿成音速。

证实 3:空气进入渐扩管,为什么还要加快?

因为空气从第一个管子出来之后已经达到音速了,连系那个公式,可知,此时速度转变同面积转变趋向不异,渐扩管中,面积不竭变大,速度也不竭变大。所以,气流继续加快。

总结:在渐缩管中一向加快,达到交壤处速度达到音速,进入渐扩管,速度继续增添。

  • 发表于 2019-02-12 21:00
  • 阅读 ( 1009 )
  • 分类:其他类型

你可能感兴趣的文章

相关问题

0 条评论

请先 登录 后评论
联系我们:uytrv@hotmail.com 问答工具