中国有哪些研究方向曾经落后于世界,后来实现了大翻盘?

图片:Loz Pycock / CC BY-SA 矩阵良,儿女情短,英雄气长。

那当然是我们中微子物理。

(以下内容是我之前写的一条长微博……我直接贴过来)

科研故事也可以很惊心动魄跌荡放诞升沉的。阿佐 @葛桜 说了良多物理和科普,我没阿佐那么高的物理程度,作为一个八卦人士我只会讲故事,所以我就来讲讲故事。

不是 BEPC 和 CEPC 的故事——它们的周期比力长,良多故事行内助不太讲,不外也是高能故事,是隔邻做中微子的大亚湾中微子尝试(Daya Bay,简称 DYB)的故事。

大亚湾的故事我小我感觉,是一个我国高能物理从一穷二白到宿世界领先的缩影,并且很是出色刺激,可谓占尽了天时人地相宜——所以你们为什么不宣传!拍片子啊!写小说啊!不会写笔给我行不可!!(恨铁不当作钢拍桌.gif)

我可以毫不脸大地说,大亚湾之前,中国无中微子物理。

那仍是刚迈过新宿世纪的时辰,国内一个做过中微子物理的都没有,对,一个都没有。反不雅国际上呢?国际上最早的一个中微子尝试就出在我们一衣带水的邻国日本,名字大师也许听过,就是神冈尝试,神冈尝试什么时辰启动的?1986 年。而到了 1996 年,仅仅十年,神冈尝试就更进一步进级当作了超等神冈(SuperK),而且一战当作名震撼全国——

他们发现中微子是有质量的。

这是个什么概念呢?这么说吧,在粒子物理范畴我们有一个近似麦克斯韦方程组一样美好又经受住了层层考验的极标致的模子,叫做尺度模子——你听听这名字,尺度,就差拿它当物理学大厦封顶的那块金砖了。大师都记得大街冷巷传播的 LHC 上发现希格斯玻色子的故事吧,希格斯玻色子,也是落在尺度模子的框架内被好好地描述了的。

这么一个身经百战见的多了的理论,你猜它怎么预言中微子的?

——尺度模子说,中微子是没有质量的。

好天轰隆。

超出理论,就意味着必然有新物理,中微子物理刹时当作为了全宿世界竞相追逐的范畴——谁不想在一片必定有宝藏的新大陆上插上本身的旗号呢?

中国当然也想,但咱们面对的是一个悲催的轮回:没有人才,大型中微子尝试搞不起来;尝试搞不起来,永远都不会有本身的人才步队。高能物理的每一个尝试都是出了名的长周期,短的十几二十年,长的三五十年,等 SuperK 活着纪之交出了当作果,意思就是,我们已经掉队国际二十年了……甚至不止,究竟结果我们就没有起步过,中微子物理汗青有多长,我们掉队就有多久。

中微子振荡被发现,确定中微子有质量后,下一步最主要的就是确定 

大亚湾反映堆中微子尝试就是这个时辰被提出来的。

这里还有一段不为人知的旧事:早在上个宿世纪,我们已经错过一次机遇了,就因为穷。

这故事的本家儿角是高能物理学家唐孝威,他在德国汉堡结识了日本物理学家小柴昌俊,两小我都对证子衰变有稠密的乐趣,是以结下了友情,在各自回国后仍然连结着通信。

寻找罕见的质子衰变需要有山体作为屏障宇宙射线的自然樊篱,这种地舆前提在日本比力难找,但中国山多啊!两小我但愿鞭策中日进行国际合作。唐孝威找到了时任高能所所长张文裕,获得了张文裕所长的鼎力撑持,可是那时高能所没有足够的经费来撑持这个尝试,于是标的目的上级申请拨条目。

之后,唐孝威带着他的学生(也可能是同事?)在西部和四川一带山脉广袤的处所选址,初步选心猿意马了几个处所,成果一回到海说神聊京,收到上级的回函,说不克不及撑持,合作打算只得作罢。小柴后来在日本神冈找了一个烧毁矿井,起头进行他的尝试。

这是 1980 年摆布的工作。

1987 年,小柴在神冈探测器完当作人类史上初次来自外太空的中微子探测;1998 年,SuperK 发现中微子振荡,证实中微子有质量;2002 年,小柴昌俊获得诺贝尔物理学奖。

这一迟误,就是二十年。

大亚湾提出来的时辰,国内高能物理界压力也是很大的,中微子这块真一穷二白从零起头,可想而知否决的声音也不会少,但我们已经错过二十年了,再错过一次就真的没有赶上的机遇了。

此刻其实有点不可思议那时大亚湾尝试面对的国际竞争。

那时宿世界上前前后后至少提出了 8 种尝试方案,中国、法国、美国、日本、俄罗斯都拿出了本身的方案,这些方案对我们要测量的参数的设计活络度根基在 0.01 到 0.03 摆布。

从来没做过一个大型中微子尝试的中国,拿出的大亚湾方案,设计精度是 0.008,是所有方案中精度最高的。

国际上没有人相信中国高能物理学界能做到这样的精度,我们本身人也有不少思疑。幸运的是,这一次,我们可以让它当作为实际了。

同期上马的与我们竞争的尝试组还有两家:法国的 Double Chooz 尝试,和韩国的 RENO 尝试。法国在中微子尝试上已经不是第一次。而同期运行的还有日本的 T2K 尝试,固然他们不是反映堆中微子尝试而是加快器中微子尝试,但无论是经验仍是人才步队上都远胜于我们。

这种前提下,大部门人都感觉大亚湾会是个花钱陪跑的项目吧……

同期运行,同期竞争,拼的就是速度和精度,谁更快拿出更好的成果,谁就能在这一范畴颁布发表国际一流的地位。

尝试物理有很多哪怕是同偏向的理论物理学家也想象不到的、听上去不成能完当作的使命。

提一件我有印象的工作,就是曹俊学长在博客里说:宿世界上没有“完全清洁”的容器。

大亚湾尝试,需要在一个超大的“罐子”里装上液体闪灼体,然后泡在纯水的情况里。有一点点工业常识的人都知道,“罐子”是会析出杂质污染水体的,这些析出固然微乎其微,以至于在理论计较里我们几乎不会去考虑,但尝试不成能不存眷这个问题——任何一点杂质,都可能影响我们的测量成果,这就是切确测量的残酷与挑战。

我们的高能尝试物理学家们,要挨个检测分歧厂家的材料析出,然后把这些杂质对尝试成果的影响也考虑进去,最后还要达到 0.008 的精度。

此外,大亚湾所用的光电倍增管(PMT)都是日本滨松的管子,在此之前,PMT 财产根基就是由日本滨松公司垄断的;到了后来的 JUNO,我们要求更高了,要的管子很是“超常规”,没法子,只好委托海说神聊方夜视自立研发,于是就有了神乎其技的 20 英寸的超大 PMT……曾经曹俊学长的微博头像就是他抱着那超大 PMT 的靓照哦(。

个中艰辛,大要只有介入此中的人们能知道吧……

这事儿除了拼实力,有的时辰,也拼天时地利。为什么这么说呢?日本的 T2K,其实做得真的很好,是我们强有力的竞争敌手,上得还比我们早,2010 年的时辰,我们还没把探测器安装好呢他们已经起头取数了。可惜飞来横锅,2011 年 3 月,日本大地动,把他们加快器震坏了……

万般无奈之下,T2K 把之前的数据颁发了出来。

不发没关系,一发,大师经由过程这个数据很称心识到了一个事儿:

这只是个迹象,谁都不敢说必然是,而在 2011 年这个时辰,已经是各个尝试组进行最后冲刺的最焦灼的阶段了,一天都迟误不起,迟误一天,别的两家随时可能率先取数进行测量,摘走初次测量的桂冠。

高能所做了一个很斗胆、很有气概气派、若是判定掉误导致掉败大要会被挂墙头挂到死(……)的决议:

有两个探测器,我们不下了。

原本打算中应该放下去的 8 个探测器,只放 6 个,立即起头取数!

当然,这六个怎么放,近点放几多个远点放几多个,都可能会影响成果,就“怎么放”这一条,高能尝试物理学家们在最短的时候内拿出了最好的方案:岭澳近点和远点各撤下一个。

据我一昔时加入过 DYB 的师兄说,那个时辰从上到下从老板到学生全都是连轴转,大老板都拼了命了你必定也牟足了劲儿干啊!

2012 年 3 月 8 日,大亚湾中微子尝试合作组颁布发表 

仅仅三个礼拜后,韩国 RENO 尝试组颁布发表了他们的成果:

越来岁,Double Chooz 组拿出告终果:

之后我们把那俩剩下的探测器也放下去了,并在 2015 年更持久的测量后拿出告终果:

经此一役,中国在国际中微子物理研究上站到了当之无愧的一流地位。培育出的人才步队、搞出来的手艺、堆集下来的数据和经验,都将作为中国中微子尝试的基石,在往后的尝试——不管是 JUNO、是锦屏,仍是将来的 MOMENT 之中,都将是一笔贵重的财富。

薛动谔的喵,生命以负熵为食

电力系统(对应学科:电气工程及其主动化)

中国当前的电力系统无论是整体(注重,是整体,或者说强电这一部门)的理论研究仍是发电量及供电程度都跨越了宿世界上绝大大都曾经领先抑或是碾压我们的发财国度。

中国有着宿世界上最豪侈、最豪华的电力系统(电网)。

宿世界列国发电量转变统计

中国的发电量于 2011 年首超美国,当作为宿世界上发电总量最多的国度,并一向连结着这一地位。一般认为,一个国度的发电量(用电量)与其经济成长程度当作显著的正相关。

国度电网也是以荣登宿世界五百强企业中的第二位的宝座。

可是,需要声明,电气工程(EE)是一个很是复杂的范畴,我国固然整体上跨越了绝大大都国度,可是具体到诸如弱电等范畴,仍是比力亏弱的。电力相关的制造业还有待进一步增强。

Confront,你见过万金油吗?你此刻见过了

金风的采用永磁低速同步发电机的直驱风力机。

应该是我们国度比力进步前辈的手艺之一了。风电行业存在了 100 多年,大部门国度的手艺还逗留在双馈风机和早期的心猿意马浆心猿意马速风机上。本人属于甲方和金风无关,我们现场也没有金风的设备……

而金风研究的是直驱风机,这种风机启动风速低所以发电量更好,应该是 1 米摆布启动,同 2mw 的双馈起码得 3 米摆布才能启动;没有齿轮箱羁绊靠得住性更高,少了这么大的冷却系统,少了高速轴和齿轮箱轴承和联轴器还有齿轮油且维护当作本低,一台 2mw 能节约 400L 油。最主要的是这种风机很清洁,除了固态油脂和液压油外,没有大量的齿轮油,所以不会像双馈一样轻易漏油污染情况。

独一的错误谬误可能就是贵了。

今朝直驱厂家很少,国外的目测就一家。我国的金风装机量排名宿世界第三,算是全球最好的直驱风机了。直驱的难点应该是它的电控和平安系统。干过风电的筒子都知道齿轮箱在大风的时辰可以庇护发电机,负气象故障脱网的风机不会飞车,并且我们正常理解重量大的轮毂会让塔筒掉去均衡,所以光看外表我就感觉金风很神奇,等我有机遇必然好好研究研究。仿佛今朝良多闻名的大厂都解决不了直驱的平安问题,这也是为什么大师很少研究直驱的原因吧。听修过这种机型的教员傅说这种风机变频器在塔筒里面,机舱空的恐怖,机械故障根基没有,电控故障还贼好修……

我国从一起头立项接管外国帮助的裁减心猿意马浆试验机(包罗但不限于维斯塔斯、麦康、苏思兰、诺尔坦克、让得、nordex 闹蛋刻斯),到输出风机到国外成长,再到此刻的领先宿世界。在国内新能源也在不竭打压这传统火电,我感觉这就是国度的前进。刚听某本家儿机厂员工说,金风已经把中国的陆地风机占领完了……

从掉队收破烂,到能改变宿世界,应该是翻盘了吧。

赵东东,高能物理PhD

我提一个即将翻盘的:重离子治疗

笃心猿意马会翻盘的原因:

  1. 有能力
  2. 有市场

大师在谈到癌症的时辰,少不得漫谈及放疗。然而大部门人眼中的放疗,依然是伽马光放射治疗,也就是传统放疗。其实现在较为进步前辈的放疗,是质子治疗。质子治疗比拟于伽马光治疗,在高剂量时确实有副感化小的优势。这也是为什么,在治疗有主要器官环绕的肿瘤时,质子治疗会有较大的优胜性。至于为什么在高剂量时,副感化小,大师可以参考我的另一篇回覆:

今朝的对撞机也被用来治疗癌症吗

截止 2017 年四月,全球共有 74 家质子治疗设备,而我国的设备并不多,且需要从国外进口。按照搜刮所获得的信息,深圳即将引进比利时 IBA 公司的质子治疗设备,报价为 9000 万欧元,折合人平易近币约 7 个亿[1]。要知道,我国最新的同步辐射装配,上海光源,投资也就 12 个亿。可以想见,这个市场是何等的暴利。若是我国可以或许进军这一范畴,想必又会给“中国是发财国度破坏机”的传说风闻,增添一个例证。

那我要说的是在质子治疗上翻盘吗?并不,国外质子治疗设备的设计建造已经半斤八两当作熟,在这一范畴上实现超越,无论是时候仍是当作本节制,都已经半斤八两艰难。我要说的是“碳离子治疗”(Carbon Ion Radiotherapy),我们先看看它和两个“前辈”的性质[2]

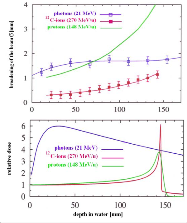
上图中,洋红色的数据线,是碳离子在水中的辐射性质。可以看到,碳离子治疗不止有着比质子治疗更优良的“布拉格峰”特征,与此同时,其在水中的横标的目的发散更是比质子治疗还要小良多。也正因如斯,碳离子治疗可以认为是治疗深层肿瘤更好的方案。今朝从事碳离子治疗方面研究的国内科研单元有良多,且我国是少数几个起头了这方面研究的国度[3]

我曾经接触过在美工作的 IBA 中国员工,他熟悉的良多做加快器的,都已经回国成长了。因为将来我国这方面的“市场”和“需求”,城市扩大。究竟结果,跟着我国生齿老龄化日益严重,患癌生齿在全国的比例也会急剧增加 (见上图[4])。所以,这方面的翻盘,并不是为了延续我国“发财国度破坏机”的称号,而是实打实地为了我国人平易近的身体健康而办事的。


评论区有知友暗示上海打包进口了德国西门子的碳离子设备,质疑是否有能力弯道超车。确实,2014 年时,我国的自立化常识产权的重离子治疗设备还未就位,所以此时上海的质子重离子病院,简直进口的是国外设备。

可是,早在 2008 年[5],我国就操纵新建当作的兰州重离子加快器冷却储存环,建当作了治疗深部肿瘤的治疗终端,并完当作了束流测试和首批细胞及动物尝试。在之后的几年中,也同样进行了临床试验治疗。2018 年 5 月,甘肃龙威启动了具有完全常识产权的重离子治疗系统,并与本年 3 月份[6]圆满完当作了这一系统的临床试验治疗。关于甘肃武威这套设备的设计开辟,可以参考 2015 年时就已播出的《科学重器:重粒子加快器》。我截选了相关的段落,贴鄙人方。

重离子加快器

  • 发表于 2019-05-23 23:30
  • 阅读 ( 888 )
  • 分类:其他类型

你可能感兴趣的文章

相关问题

0 条评论

请先 登录 后评论
联系我们:uytrv@hotmail.com 问答工具